Se la denomina teoría y no hipótesis porque tiene un alto nivel de reconocimiento en su sector. Sobre todo desde 2004.
Es la solución elegante a varios de los problemas de la física.
Su interés es muy claro y lo resumo en 5 puntos:
1. Las teorías de cuerdas resuelven el gran problema del infinito.
Es un tema matemático puro, si las partículas elementales fueran adimensionales, es decir, puntuales, las fuerzas gravitatorias, las atómicas, las distorsiones y otros cuantos fenómenos que dependen de la distancia entre cuerpos tenderían al infinito al tender el radio (la distancia entre las partículas) a 0.
Por ejemplo, la distorsión:
D = 1/r³
O las fuerzas de gravitación:
F = Gmm'/r²
Si el r de ambas fórmulas tiende a 0, la distorsión, o la fuerza entre las partículas, serían infinitas.
Exactamente lo mismo pasa con las singularidades espaciales, con el Big Bang o cualquier otro agujero negro.
Y eso es absurdo.
Esto quebró la cabeza durante décadas a muchos físicos, empezando por el ucraniano Матвей Петрович Бронштейн (Matveï Petróvitch Brónstein) que parecía cercano a resolverlo (con su cubo de las teorías físicas) hasta que los secuaces de Iósif Visariónovich Dzhugasvili, alias Stalin, le metieron otra idea entre los sesos, una de plomo, en febrero de 1938. Es lo que mandaba hacer ese georgiano enfermo de esquizofrenia paranoide y de sociopatía, con cualquiera que destacara un poco, con cualquiera de cierta valía: cabeza que asomaba, cabeza que mandaba cortar. Y es que temía que le hicieran a él lo que él les hizo él a todos sus colegas de partido. Y es lo que creó una generación en que nadie osaba demostrar ninguna validez, es decir, una generación de gente nula.
Hasta 1990 Matveï Petrovitch Bronstein no obtuvo su merecido reconocimiento.
Así que la resolución del problema del infinito debió esperar varias décadas más.
En 1974 Joel Scherk y John Henry Schwarz publicaron su Modelo Dual Para No Hadrones, Una Teoría De Supercuerdas. Solucionaban el problema parcialmente.
Mas no tuvo mucho éxito.
Y ellos fueron marginados, Joel sufrió una fuerte diabetes y se suicidó.
Pero una década después algunos rescataron su teoría y la titularon La Teoría Del Todo.
Yoichiro Nambu, Holger Bech Nielsen, Gabriele Veneziano, Michael Green, Leonard Susskind, Joseph Polchinsky, junto con el aún sobreviviente John Henry Schwarz, le dieron otra vuelta y lo resolvieron, completando la(s) teoría(s) de (Super)cuerdas.
Si las partículas son una especie de hilos o aros flexibles (por eso lo de cuerdas) o si fueran una especie de membranas (lo que postula la teoría M o de membranas de Ed Witten, que, desde 1995, unifica las 5 de cuerdas compatibles cada una solo con sus vecinas* y disuelve sus diferencias), el problema del infinito está resuelto.
En 2004 Stephen Hawking reconoció su error (el de la paradoja de la pérdida de información) aceptando la validez de los enfoques de las supercuerdas o de la de membranas. Desde entonces se considera(n) teoría(s) y no meras hipótesis.
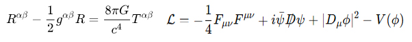
2. Las teorías de cuerdas integran y compatibilizan la Relatividad y la Física Cuántica,
Esta imagen representa a cada una de ellas por separado:

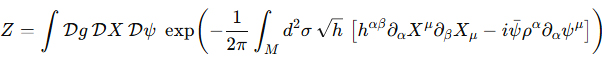
Esta es la expresión de la teoría de cuerdas con las dos integradas:

Hasta explican la, hasta ahora, incompatibilidad entre ellas, como detallamos a continuación.
3. Las teorías de cuerdas explican muy bien el modelo estándar de partículas, lo resuelven elegantemente
Con mucho esfuerzo se fue teorizando y experimentando para llegar a crear una tabla donde caben todas las partículas elementales de la física conocidas y, en el caso del gravitón, por conocer.
Recurriendo a las teorías de cuerdas las propiedades de todas las partículas elementales se explican muy fácilmente en base a las características de las distintas cuerdas o de sus combinaciones. O sea, nos explican muy bien por qué existen dichas partículas y qué las diferencia. Y eso es genial y apoya su validez. En realidad ya es una prueba a favor de las teorías de cuerdas y de la teoría M.
4. Las teorías de cuerdas resuelven el problema de la materia oscura
Si existen múltiples dimensiones que no conocemos, puede que ellas se manifiesten en universos paralelos que no podemos percibir desde el nuestro, pero entre los cuales sí que la gravedad fluiría, lo que explicaría que esta fuerza parezca tan sumamente débil a nivel microscópico (comparada con las otras fuerzas: electromagnetismo, nuclear débil y nuclear fuerte, resulta del orden de 1/10⁴⁰) pero resulta crucial y muy influyente a nivel cósmico, donde la dispersión multiuniversal gravitatoria se compensa porque se juntan las fuerzas gravitatorias de todos los Universos del Multiverso. Es decir, a nivel micro la gravedad se dispersa, pero a nivel macro se suman las gravedades haciendo que a nivel macrocosmos esta fuerza sea la más influyente. Las otras fuerzas mantienen unidas las partículas y compuestos, pero los cuerpos que nos son visibles y, sobre todo, los astros, los mantiene unidos o/y en relación la gravedad, a un nivel donde las otras fuerzas resultan nulas, o casi.
La gravedad puede ser tan fuerte que acaba con todas las demás fuerzas en una singularidad (en un agujero negro). Y (re)convierte toda la materia en energía pura (no materializada).
Si el gravitón es una cuerda cerrada, que no se liga a nuestras dimensiones (como se ligarían las partículas de las otras fuerzas fundamentales, al ser abiertas, ligadas, en sus extremos, a branas), sino que fluye por todos los universos paralelos, la materia oscura ya no es necesaria. La que creemos que es otro tipo de materia invisible (oscura), es, simplemente, materia bariónica (normal) de universos paralelos indetectables desde el nuestro, desde nuestras dimensiones.
Salvo por la gravedad. Y es aquí donde la investigación de las ondas gravitacionales podrá hacernos avanzar, por ejemplo, detectando ondas de este tipo provenientes de otros universos y también emitiéndolas, para que las nuestras puedan ser detectadas desde ellos. Una forma de comunicación multiversal (o interuniversal).
Y eso solo se podrá dar cuando dominemos las ondas gravitatorias y cuando en algunos de esos Universos con una cuenta temporal distinta también como para poder emitir y recibir señales recíprocamente.
Pero, del mismo modo que la gravedad no se limita a nuestro (actual) espacio, tampoco se limita a nuestro (actual) tiempo, por lo que también influya la masa de otros momentos de nuestro mismo Universo. Porque si la gravedad no se enlaza con el espacio tampoco con el tiempo, pues espaciotiempo es una unidad.
Y eso generaría que cualquier expansión del Universo, se curvara en el tiempo, es decir, generaría un espacio cíclico y, con ello, interminables ciclos de Universo es decir, Universos paralelos.
Fíjate que si el gravitón se comporta tan distinto a las otras cuerdas, esto explica que en la Relatividad solo él influya y, por el contrario, los atados a este Universo (o manifestaciones exclusivas del mismo) son los que se consideran a nivel microscópico, en la Física Cuántica, por ser los portadores de la fuerza nuclear débil, de la fuerte y del electromagnetismo.
Ahora entendemos por qué eran incompatibles, como el agua y el aceite, ambas teorías.
Y ambos mundos (el microscópico y el macroscópico).
Ya no.
Y, para terminar, la(s) teoría(s) de cuerdas (o la de membranas) resuelve(n) otro misterio más:
5. Las teorías de cuerdas resuelven el problema de la energía oscura.
Si el Universo se pliega en una de esas dimensiones extra, por ejemplo, si está curvado en la misma 4ª dimensión que percibimos como tiempo y por el que circulamos unidireccionalmente (como si cayéramos por el mismo en vez de avanzar o retroceder a voluntad por él como en los otros, bueno, en el eje z con bastante limitación: la gravedad nos encarcela y huir de dicho presidio es jonino) puede ser que esa supuesta energía oscura que acelera la expansión del Universo sea el Universo mismo que se expande (por un lado) y se atrae o contrae por el otro lado.
Como los continentes de la Tierra que se separan por un lado pero se juntan por el otro. Y un día se volverán a unir en un monocontinente Pangea (y un monoocéano, Panthalassa), como ya han hecho varias veces. En este caso es el telurismo quien actúa, la dinámica geológica, y no directamente la atracción gravitatoria (esta solo aporta el calor derivado de la presión que licúa el núcleo externo y el manto, y es el que, así, confiere movilidad a los continentes), pero el ejemplo 2D (aparente) de la superficie terrestre curvada en una 3D nos sirve para entender la posible (probable) dinámica del 3D de nuestro Universo curvado en una 4ªD, el tiempo.
Si el Universo en expansión (por un lado) se convierte en un Universo en contracción, por el otro, se resuelve el enigma de por qué se acelera la expansión del Universo, y su Big Crunch generaría no solo otro universo sino otro tiempo (en realidad el espacio y el tiempo forman un conjunto inseparable, el espaciotiempo), con lo que se explicaría la existencia de universos paralelos. Estos no son sucesivos, el tiempo de cada expansión del Universo es distinto, no es secuencial con respecto a los otros tiempos, por lo que los universos paralelos son expresiones de un mismo Universo en distintos tiempos.
Porque los agujeros negros deshacen la materia totalmente en energía pura y el Big Crunch deshace toda la materia (y el espacio y el tiempo) del Universo en energía pura.
Otro Big Bang (no podemos afirmar que sea ulterior) generaría espacio, es decir tiempo y materia distintas.
Como curiosidad contaré que esta forma de ver el cosmos (todo es energía, Brahman, y el Universo es un ciclo constante de expansiones y de contracciones) es el que presentan el hinduísmo, el vedismo y el brahmanismo en sus escritos más antiguos.
Todo esto es lo que resuelven las teorías de cuerdas y la de membranas no es poco resolver. Así que, su aportación es fascinante.
¿No te parece?
La Relatividad General necesitó poco tiempo para resolver la rebeldía newtoniana de la órbita de Mercurio (con forma de flor en sus sucesivos ciclos y no circular o elíptica estable).
Necesitó unos años para demostrar las lentes gravitacionales (desde 1915 hasta el eclipse de mayo de 1919, visible, y fotografiable, desde Brasil).
Necesitó décadas para demostrar la dilatación del tiempo, los agujeros negros…
Las teorías de cuerdas o y la de membranas se merecen un tiempo y un esfuerzo, es decir un trabajo de investigación para confirmarlas o falsarlas. No es fácil. En el tema del estudio de las ondas gravitacionales acabamos de empezar, estamos en pañales, y son la clave.
*imagínatelas como en círculo, pues cada una se entiende con sus vecinas pero no con las dos de enfrente.
Más info sobre todo esto:
"https://youtu.be/EUZKg0WTcLE”
"https://youtu.be/yd1jx1DkXb4"
"https://youtu.be/mKStU2dUmJQ"
"https://youtu.be/EfJMrMFYH84"
"https://youtu.be/ufgjMhVOB7I"
"https://youtu.be/96bm5dSmjoY"
En este punto de este video se explica cómo la Teoría (de) M(embranas) permite explicar la expansión acelerada del Universo sin la nece(si)dad de la Energía Oscura:
"https://youtu.be/iYfIL6Xaa7o?t=1236"
"https://youtu.be/62zkxsEjCNs?t=1589"
Gerttz